Etude du Capteur d’humidité capacitif étanche
En vous aidant du document technique DT3
Q1 : DONNER la nature (analogique ou numérique) de la tension de sortie.
Q2 : Donner la valeur maximale de la tension de sortie
Q3 : Sur quel principe physique est basé ce capteur ?

Q4 : Quel est l’avantage de capteur par rapport au capteur résistif précédent ?
Q5 : D’après les indications du DT3 compléter par des flèches le tableau d’évolution des grandeurs ci-dessous :
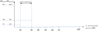
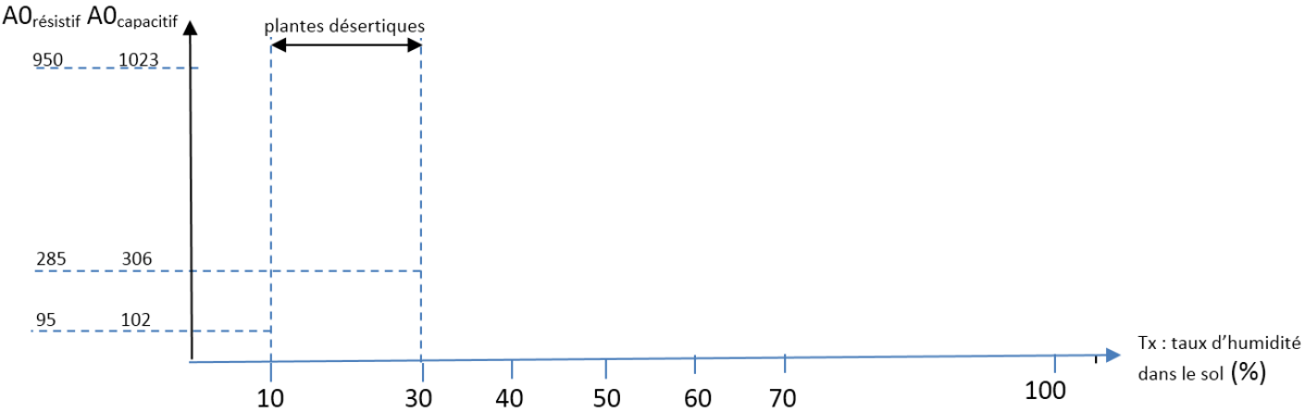
Q6 : (voir DT3) Donner les plages de valeur (min. et max.) de A0 pour les 3 conditions d’humidité du sol.
Caractéristique du capteur : Soit la variable Tx : le taux d’humidité dans le sol ; A0 est le nombre en sortie du capteur (et donc entrée de la carte Arduino)
A0 = 1023 correspond à Tx = 100 % ; A0 = 0 pour Tx = 0 %
Q7 : Placer les 2 points extrêmes sur le graphique A0 = f(Tx), Tracer la caractéristique.
Q8 : Compléter l’axe A0 avec les valeurs limites qui caractérisent l’état du sol (voir Q6), reporter ces limites sur l’axe Tx
Q9 : Etablir la relation de proportionnalité entre A0 et Tx.(calculer a pour A0=a×Tx ↔ Tx=A0/a)
Q10 : Calculer précisément les valeurs des taux d’humidité limites qui caractérisent les 3 états du sol.
Q11 : Compléter le tableau suivant en indiquant l’état du sol et A0 (appelé A0capacitif) pour chaque taux d’humidité.
Q12 : Quel est le capteur (résistif ou capacitif) le plus précis ? pourquoi ?
Q13 : En vous aidant du DT4 DT4 - Humidité sol végétaux.pdf [pdf]et de votre étude du capteur résistif, sur le même modèle que les plantes désertiques, compléter le graphique suivant en indiquant les plages d’hygrométrie et les valeurs des A0 pour les plantes méditerranéennes, les radis, les haricots .