Etude du capteur résistif
Etude fonctionnelle
Q1. En vous aidant du diagramme des exigences, CITER l’exigence qui concerne l’humidité du sol, son identifiant (Id) et ce qu’elle impose.
Q2. A l’aide des diagrammes d’exigences détaillés, CITER l’exigence dont la solution technique est un capteur d’humidité du sol, son identifiant (Id) et ce qu’elle impose.
Q3. (voir DT1) Citer les différentes solutions techniques pour mesurer efficacement le taux d’humidité dans le sol. Quelles sont les 2 méthodes les mieux adaptées (économique et facile à mettre en œuvre) à notre serre de surface 1 m² ?
DT1 : Méthodes de mesure de l'humidité du sol
Capteur d’humidité à fourche
DT2 : Capteur d'humidité à fourche
Q4 : DONNER la nature (analogique ou numérique) de la tension de sortie.
Q5 : Donner la valeur maximale de la tension de sortie
Q6 : Sur quel principe physique est basé ce capteur ?

Q7 : Sachant que U = R x I et que I est constant et que Usortie évolue à l’inverse de U, Compléter par des flèches le tableau d’évolution des grandeurs ci-dessous :
Q8 : (voir DT2) Donner les plages de valeur (min. et max.) de A0 pour les 3 conditions d’humidité du sol.
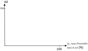
Caractéristique du capteur : Soit la variable Tx : le taux d’humidité dans le sol ; A0 est le nombre en sortie du capteur (et donc entrée de la carte Arduino)
A0 = 950 correspond à Tx = 100 % ; A0 = 0 pour Tx = 0 %
Q9 : Placer les 2 points extrêmes sur le graphique A0 = f(Tx), Tracer la caractéristique.
Q10 : Compléter l’axe A0 avec les valeurs limites qui caractérisent l’état du sol (voir Q8), reporter ces limites sur l’axe Tx
Q11 : Etablir la relation de proportionnalité entre A0 et Tx.(calculer a pour A0=a×Tx ↔ Tx=A0/a)