Système roues dentées-chaîne
Définition :
Le système à roues dentées-chaîne permet de transmettre un mouvement de rotation à une distance plus ou moins importante.
La transmission par chaîne est utilisée pour des vitesse de rotation peu élevées

Complément : Avantages et inconvénients
Avantages :
Transmission synchrone (pas de glissement)
Transmission de puissance élevée
Robuste
Inconvénients :
Vitesse de rotation peu élevée
Nécessite une lubrification
Bruyante
Fondamental :
Un système roues dentées-chaîne peut être représenté par le schéma ci-contre :
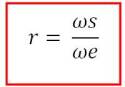
Entrée : énergie mécanique de rotation suivant l'axe x , caractérisée par une vitesse angulaire ωe et un couple Ce.
Sortie : énergie mécanique de rotation suivant l'axe x , caractérisée par une vitesse angulaire ωs et un couple Cu.
Paramètres :
Le rapport de réduction : rapport entre le nombre de dents des roues dentées.
Le rendement : rapport entre la puissance de sortie et la puissance d'entrée, il illustre les pertes.








