Système vis-écrou
Définition :
Le système à vis et écrou permet de transformer un mouvement de rotation en un mouvement de translation en combinant les mouvements d'une vis et d'un écrou.
Il existe deux types de systèmes à vis et écrou. Dans certains systèmes, c'est la vis qui joue le rôle d'organe moteur. Dans ce cas, le mouvement de rotation de la vis se transforme en mouvement de translation pour l'écrou.

Dans d'autres systèmes, c'est plutôt l'écrou qui constitue l'organe moteur. Dans ce cas, le mouvement de rotation de l'écrou se transforme en mouvement de translation pour la vis.

Attention : Réversibilité
Ce mécanisme est généralement irréversible. Il ne peut qu'être amorcé par une rotation de l'organe moteur. En effet, une translation de la vis ou de l'écrou bloque le mécanisme.
Cependant, si le nombre de filets est supérieur à 2, le système devient réversible (cas peu fréquent).
Complément : Avantages et inconvénients
Avantages :
Ce mécanisme permet d'exercer des forces et des pressions importantes.
Il permet aussi des ajustements fins.
Inconvénients :
Ce mécanisme génère beaucoup de frottement.
Sa fragilité peut entraîner des problèmes de guidage.
Le système est lent à moins d'avoir un pas de vis important.
Fondamental : Modélisation

Un système vis-écrou peut être représenté par le schéma ci-contre :
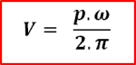
Entrée : énergie de rotation, caractérisée par une vitesse angulaire ω et un couple C.
Sortie : énergie de translation, caractérisée par une vitesse linéaire V et une force F.
Paramètres :
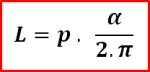
Le pas : déplacement relatif (en m) pour une rotation d'un tour
Le rendement (faible pour une vis à billes, important pour une vis classique)
Grandeurs d'effort :
Le système actionné en sortie demande un effort F qui va appeler un couple C à fournir en entrée.
La puissance en entrée est égale à la puissance en sortie au rendement près :
![]()







